New study shows that a compound containing NMN can enhance anti-cancer immunity

July 17, 2025  Source: drugdu 158

Recently, scientist Vollmer and his colleagues published a study in the International Journal of Molecular Sciences, proving that taking a group of anti-aging compounds can enhance immunity, which is a key protective factor against aging. The mixture of compounds tested in the study included nano-filtered colostrum, egg yolk extract, NMN, quercetin, α-ketoglutaric acid, white mushroom and celery seed extract—collectively known as AgePro. In addition, immune cell-induced cancer cell killing was enhanced in adults aged 23 to 89, indicating that these compounds are effective at all ages. Importantly, AgePro does not activate immune cells in the absence of cancer cells, indicating that it is safe to take AgePro and the risk of autoimmunity is low. These findings suggest that a mixture of these compounds can safely enhance anti-cancer immunity, that is, it does not activate immune cells against healthy cells.

AgePro enhances immune cell-induced cancer cell death

Since decreased immunity is a factor of aging, Vollmer and his colleagues designed a test trial to test the effects of AgePro on the immunity of 17 adults aged between 23 and 89. To do this, they had the adults take AgePro twice a day for a month. The researchers also drew blood from the participants at the beginning of the month before taking AgePro and at the end of the month after taking AgePro for 30 days.

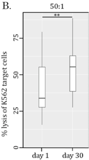
Vollmer and his colleagues then combined immune cells isolated from the participants' blood with human leukemia cells in a laboratory dish. The test results found that the isolated immune cells obtained after AgePro treatment killed about 50% of the cancer cells. The participants' immune cells extracted one month before AgePro treatment killed only about 30% of the cancer cells. Comparing the two percentages, the results of the study showed that after taking the AgePro compound mixture for one month, the immune cells increased the killing rate of cancer cells by about 30%, at least in the laboratory dish.

"/After taking AgePro for 30 days, the proportion of cancer cells killed by immune cells increased by about 30%.

AgePro is safe for autoimmunity

Interestingly, the immune cells' ability to kill cancer cells was enhanced in adults of all ages tested, a result that suggests that a mixture of compounds including NMN can enhance anti-cancer immunity in both older and younger people.

Additionally, widespread activation of immune cells that attack cancer cells, called natural killer cells, has been linked to autoimmunity, in which immune cells attack healthy cells in the body. Therefore, Vollmer and colleagues tested whether the natural killer cells of participants who received AgePro showed signs of activation in the presence and absence of cancer cells. As expected, levels of proteins associated with natural killer immune cell activation were higher in the presence of cancer cells in the laboratory dish. However, in the absence of cancer cells, there was no increase in proteins associated with immune cell activation. These findings support the low likelihood that the AgePro compound mixture will induce NK cell overactivation and autoimmunity, suggesting that the mixture is safe.

Determining whether AgePro can actually improve anti-cancer immunity

There are some problems with this study. First, it is not clear which compounds in AgePro might contribute to anti-cancer immunity. Second, it remains an open question whether immune cells will have an enhanced ability to kill cancer cells in the body after taking AgePro.

To address the first question, which compounds in AgePro might enhance anti-cancer immunity? Some studies have shown that NMN can inhibit lung cancer in mice. Therefore, it is possible that the NMN in AgePro enhances immunity against leukemia cancer cells. However, additional human trials using only NMN supplements and the same overall research protocol are needed to reveal whether NMN is critical for enhancing anti-cancer immunity. In addition, trials similar to the protocol by Vollmer and colleagues could be conducted with other individual compounds in AgePro to test their efficacy in enhancing anti-cancer immunity.

As for the second question, whether these findings of enhanced anti-cancer immunity apply to living humans, only trials in cancer patients can provide evidence of an association. In this regard, trials in human cancer patients need to test whether taking AgePro is associated with cancer suppression. In addition, in their study, Vollmer and colleagues isolated immune cells from participants' blood before and after AgePro treatment and tested their effects against cancer cells in laboratory dishes. This laboratory dish model may not accurately reflect the situation in vivo, especially because the ratio of immune cells to cancer cells used in the dish may not be the same as the ratio that is not present in the blood circulation.

For example, when the ratio of immune cells to cancer cells was 50:1, about 50% of cancer cells were killed; however, this ratio of immune cells to cancer cells may not exist in the body. Therefore, while AgePro supplementation may have some effects related to anti-cancer immunity, the optimal cell ratio used in this study may be exaggerated.

Still, even if AgePro only modestly boosts anti-cancer immunity, it suggests that the combination of these molecules can enhance immune cell function. Therefore, further research should be conducted to determine whether a single compound in AgePro (e.g., α-ketoglutarate) can enhance immunity, or whether a combination of these compounds can enhance immunity additively. If AgePro ingredients can enhance immunity additively, then it may be worth taking multiple anti-aging compounds for optimal results.

https://news.yaozh.com/archive/45776.html

By editor
Share: 

your submission has already been received.

OK

Subscribe

Please enter a valid Email address!

Submit

The most relevant industry news & insight will be sent to you every two weeks.